您当前位置:首页 > 新闻频道 > 技术动态 > 正文
普通公路养护道班规模计算方法研究(交通)

普通公路养护道班规模计算方法研究(交通)

                                王岱岳  王延娟

                   (北京国道通公路设计研究院股份有限公司  北京  100053

摘要  以北京市为例,结合普通公路养护道班建设规模现状,提出了基于道班功能及工作内容的公路养护道班规模计算方法,并根据实际需求及相关标准、规范等给出了相应参数取值。

关键词  养护道班  建设规模  计算方法

    普通公路是指除高速公路以外,为公众出行提供基础性普遍服务的非收费公路。普通公路道班作为养护管理工作中的基层单位,承担着公路日常养护、公路服务及公路应急抢险等工作,是公路养护工作的桥头堡,也是公路养护部门的对外窗口,为公路事业发展起着重要支撑作用。

1  公路养护道班现状与建设规模

1.1  总体状况

    北京市目前正在使用的普通公路道班有95座。“十二五”以来,按照交通部提出的“养护转型、管理升级、改革加快、服务提高”的要求,北京市逐步对普通公路道班进行升级改造,提高设施状况,完善道班功能,共改造道班48座。

1.2道班功能分析

    公路养护道班主要负责公路的日常养护和应急抢险工作,近几年,逐步增加了公共服务功能。在用的95座道班中,同时具备养护、服务和应急物资储备功能的道班有25座,具备养护和服务功能的有1座,具备服务和应急物资储备功能的有1 6座,仅具备服务功能的有6座,仅具备养护功能的47座。

1.3道班建设规模分析

    在用95座道班平均占地面积1. 23 hm2,分布在0. 0636. 19hm2之间;平均建筑面积997m2,分布在40. 664 415m2之间,见图1

普通公路养护道班规模计算方法研究(交通)750.png 

    已改造48座道班平均占地面积0. 76 hm2,分布在0. 0611. 68hm2之间;平均建筑面积为885m2,分布在1454403 m2之间,见图2

普通公路养护道班规模计算方法研究(交通)836.png    

从现状道班规模情况看,无论是在用道班还是已改造道班,其建设规模差异较大,规律性较弱。同时,现状在用道班的建设规模与其养护公路的里程、所在道路等级等因素之间无明显联系。

2  公路养护道班建设规模计算方法

    本文从需求角度出发,提出根据道班功能及工作内容的公路养护道班规模计算方法,并结合现状调查及相关标准、规范等给出了相应参数取值。

2.1  道班功能及需求夯桁

    目前公路养护道班功能主要有,公路日常养护、公路应急抢险及公共服务。具体功能及需求见表1

普通公路养护道班规模计算方法研究(交通)1076.png 

2.2规模计算方法

    根据上述道班功能及需求,道班可分为养护生产区、应急物资储备区和服务站3大功能区。影响各功能区建设规模的主要因素包括:养护公路里程、养护公路等级、养护工人数和管理人员数量等。

    研究从各功能需求用房人手,计算出各类功能用房建设面积。对于合并功能设置的道班,其建设规模应做适当折减。

2.2.1  养护生产区规模计算方法

    养护生产区用房主要包括:管理人员办公用房、养护及管理人员宿舍、食堂、机械存放及修理用房、日常养护物资存放库房、配套设施。计算公式如下。

普通公路养护道班规模计算方法研究(交通)1326.png 

计算依据及相关取值见表2

普通公路养护道班规模计算方法研究(交通)1342.png 

2.2.2应急物资储备区规模计算方法

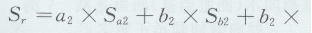
    应急物资储备区用房主要包括:管理人员办公用房,应急抢险及管理人员宿舍、食堂、应急抢险物资储备用房、材料堆放库房、配套设施,计算公式如下:

普通公路养护道班规模计算方法研究(交通)1436.png普通公路养护道班规模计算方法研究(交通)1437.png 

资储备用房面积,m2Se2为材料堆放库房面积,m2S f2为应急物资储备区配套设施面积,m2

计算依据及相关取值见表3

普通公路养护道班规模计算方法研究(交通)1503.png 

    当养护生产与应急抢险区域合并设置时,由于日常养护人员与应急抢险人员在工作内容上有所交叉,日常养护人员可兼顾应急抢险的工作,因此在计算宿舍、食堂及配套设施的面积时,应考虑合并养护及应急抢险人员数量,避免因重复计算造成的资源浪费。

2.2.3  服务站规模计算方法

    现阶段普通公路服务站主要包括:服务人员办公及配套用房、公共卫生间、休息室等。计算公式如下:

普通公路养护道班规模计算方法研究(交通)1690.png 

计算依据及相关取值见表4

普通公路养护道班规模计算方法研究(交通)1706.png 

3结语

    公路行业发展逐渐由“建设为主”转向“建养并重、协调发展”的科学发展方式,对公路养护的要求也越来越高,道班作为公路养护的基层单位,既要满足新形势下的养护需要,又要避免过度建设而造成的浪费。本文以北京市为例,结合道班现状功能,初步探讨了道班建设规模计算方法,并结合现状需求及相关规范要求给出了参数取值范围。上述研究是该领域的一次探索性尝试,为未来相关标准的制定奠定基础。

关键字:

招商信息月点击排行

About Us - 关于我们 - 服务列表 - 付费指导 - 媒体合作 - 广告服务 - 版权声明 - 联系我们 - 网站地图 - 常见问题 - 友情链接
Copyright©2014安装信息网 www.zgazxxw.com. All rights reserved.
服务热线:0371-61311617 邮箱:zgazxxw@126.com 豫ICP备18030500号-4
未经过本站允许,请勿将本站内容传播或复制
安全联盟认证